Lompat ke konten Lompat ke sidebar Lompat ke footer

Contoh Soal Cerita Spldv Metode Gabungan / Spldv New / Persamaan 1 = x + 3y = 15.

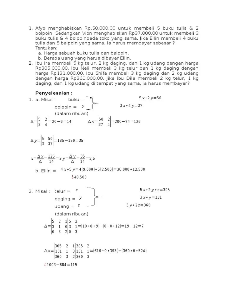
Gambar terkait dengan contoh soal metode gabungan. Posting pada rumus matematika smp ditag #contoh soal cerita spldv metode substitusi, #contoh soal sistem persamaan linear dua variabel metode campuran, #contoh soal spldv metode substitusi, #contoh soal substitusi 3 variabel, #contoh substitusi, #metode eliminasi, #metode gabungan, #metode substitusi 3 variabel navigasi pos Contoh soal spldv dan pembahasannya seorang tukang parkir mednapat uang sebesar rp 17.000 dari 3 buah mobil dan 5 buah motor, sedangkan 4 buah mobil dan 2 buah motor ia mendapat rp 18.000. Dalam hal tersebut disebabkan oleh x dan y yang secara berturut menyatakan banyaknya karcis i dan ii yang terjual yakni 125 lembar dan 375 lembar. Sebelum lebih lanjut membahas tentang contoh soal cerita sistem persamaan linear dua variabel, kamu harus paham dengan pengertian persamaan linear dan juga pengertian persamaan linear dua variabel (spdlv).kalau belum pernah mempelajarinya, silahkan baca materinya di blog ini yakni pada artikel yang berjudul pengertian sistem persamaan linear dua variabel.

Di mana kita akan menggabungkan metode eliminasi dan substitusi. Sistem Persamaan Linear Tiga Variabel Ciri Komponen
Sistem Persamaan Linear Tiga Variabel Ciri Komponen from www.seputarpengetahuan.co.id
Di mana kita akan menggabungkan metode eliminasi dan substitusi. Yunda mempunyai 4 buah semangka, 8 buah mangga dan 12 buah kelingking. Contoh soal cerita spldv dengan metode gabungan. Spldv ini dapat saja diselesaikan dengan menggunakan metode substitusi. Cara menentukan penyelesaian spltv metode gabungan atau. Menyelesaikan sistem persamaan linear dua variabel spldv dapat dilakukan dengan beberapa metode berikut. Semangka x mangga y dan kelingking z sehingga bentuk persamannya yaitu 4x 8y 12z. Jika disebuah toko mebel harga lima buah meja dan delapan buah …

Persamaan 2 = 3x + 6y = 30.

Contoh soal spldv pada metode gabungan. 20 contoh soal cerita spldv dengan metode gabungan kumpulan contoh soal. Matematika kelas 8 cara menyelesaikan sistem persamaan. Sekian yang dapat edmodo.id sampaikan terkait pemabahasan mengenai spltv yang sudah edmodo jabarkan secara detail, mulai dari pengertian, soal cerita, matriks, rumus dan contoh soalnya. Misalnya contoh di bawah ini: Posting pada rumus matematika smp ditag # contoh soal matematika metode campuran, # metode campuran sistem persamaan linear tiga variabel, # metode eliminasi dan substitusi 3 variabel, # metode gabungan spltv, #contoh soal cerita spldv metode campuran, #contoh soal metode gabungan sederhana, #contoh soal spldv metode gabungan, #spltv metode. Pada metode gabungan untuk menyelesaikan sistem persamaan linear dua variabel kita menyelesaikannya dengan menggabungkan antara metode eliminasi dan substitusi. Kali ini saya akan membahas cara menentukan himpunan penyelesaian sistem persamaan linear tiga variabel (spltv) dengan metode gabungan (eliminasi & substitusi). 2x 3y 8 5x 7y 19. 2 1 contoh 5 metode gabungan youtube. Persamaan 1 = x + 3y = 15. Di mana kita akan menggabungkan metode eliminasi dan substitusi. Contoh soal cerita spldv dengan metode gabungan.

Pada dasarnya terdapat 4 langkah dalam menyelesaiakan permasalahan spldv dengan menggunakan metode grafik. Persamaan 1 = x + 3y = 15. Jika disebuah toko mebel harga lima buah meja dan delapan buah … Metode gabungan untuk menyelesaikan spldv. Sebelum lebih lanjut membahas tentang contoh soal cerita sistem persamaan linear dua variabel, kamu harus paham dengan pengertian persamaan linear dan juga pengertian persamaan linear dua variabel (spdlv).kalau belum pernah mempelajarinya, silahkan baca materinya di blog ini yakni pada artikel yang berjudul pengertian sistem persamaan linear dua variabel.

Contoh soal metode eliminasi substitusi youtube. Https Encrypted Tbn0 Gstatic Com Images Q Tbn And9gcryvkedmhjurhwpw7arxxjm Pwbpllyhgho9ktu9cs Usqp Cau
Https Encrypted Tbn0 Gstatic Com Images Q Tbn And9gcryvkedmhjurhwpw7arxxjm Pwbpllyhgho9ktu9cs Usqp Cau from
Doc soal cerita sistem persamaan linear dua variabel spldv. (spldv), silahkan kalian pelajari beberapa contoh soal cerita dan pembahasannya berikut ini. 2x 3y 8 5x 7y 19. Dalam hal tersebut disebabkan oleh x dan y yang secara berturut menyatakan banyaknya karcis i dan ii yang terjual yakni 125 lembar dan 375 lembar. Sistem persamaan linear tiga variabel (spltv) ialah merupakan suatu bentuk perluasan atas sistem persamaan linear dari dua variabel (spldv). Semangka x mangga y dan kelingking z sehingga bentuk persamannya yaitu 4x 8y 12z. Contoh soal spldv dan pembahasannya seorang tukang parkir mednapat uang sebesar rp 17.000 dari 3 buah mobil dan 5 buah motor, sedangkan 4 buah mobil dan 2 buah motor ia mendapat rp 18.000. Contoh soal spldv pada metode gabungan.

Metode gabungan adalah suatu metode yang digunakan untuk mencari himpunan penyelesaian spldv dengan cara menggabungkan dua metode sekaligus, yakni metode eliminasi dan metode subtitusi.

Metode ini sangat cocok digunakan untuk mengerjakan soal tentang sistem persamaan linear dua variabel, karena lebih sederhana. Selanjutnya spldv tersebut diselesaikan dengan metode gabungan sehingga akan diperoleh nilai dari dua variabel dalam spldv tadi. Posting pada rumus matematika smp ditag # contoh soal matematika metode campuran, # metode campuran sistem persamaan linear tiga variabel, # metode eliminasi dan substitusi 3 variabel, # metode gabungan spltv, #contoh soal cerita spldv metode campuran, #contoh soal metode gabungan sederhana, #contoh soal spldv metode gabungan, #spltv metode. Contoh soal spldv metode campuran. Spldv ini dapat saja diselesaikan dengan menggunakan metode substitusi. Sistem persamaan linear tiga variabel spltv catarina dyah. Contoh soal spltv pengertian tutorial persamaan linier tiga variabel untuk soal cerita ruang belajar siswa kelas 1 november 1977 contoh soal spltv dan jawaban brainly co id soal dan pembahasan pada spldv dan spltv ardi s blog mat peminatan soal cerita spldv dan spltv beserta doc soal cerita sistem persamaan linear dua variabel spldv. (spldv), silahkan kalian pelajari beberapa contoh soal cerita dan pembahasannya berikut ini. Sekian yang dapat edmodo.id sampaikan terkait pemabahasan mengenai spltv yang sudah edmodo jabarkan secara detail, mulai dari pengertian, soal cerita, matriks, rumus dan contoh soalnya. Contoh soal spldv metode gabungan. Agar sobat lebih paham dengan apa yang sudah kami jelaskan diatas, berikut telah kami siapkan beberapa contoh soal sistem persamaan linear dua variabel dengan menggunakan metode gabungan. Sobat punya rumah baru dan ingin mengisinya dengan berbagai macam perabot. Doc soal cerita sistem persamaan linear dua variabel spldv.

Sistem persamaan linear tiga variabel ciri syarat cara penyelesaian. Maka diketahui pada persamaan x + 3y = 15 dan 3x + 6y = 30, ini maka harus menggunakan dengan cara metode campuran dan tentukanlah himpunan penyelesaiannya ! Materi contoh soal latihan soal 11. Sebelum lebih lanjut membahas tentang contoh soal cerita sistem persamaan linear dua variabel, kamu harus paham dengan pengertian persamaan linear dan juga pengertian persamaan linear dua variabel (spdlv).kalau belum pernah mempelajarinya, silahkan baca materinya di blog ini yakni pada artikel yang berjudul pengertian sistem persamaan linear dua variabel. Jika disebuah toko mebel harga lima buah meja dan delapan buah …

Sekian yang dapat edmodo.id sampaikan terkait pemabahasan mengenai spltv yang sudah edmodo jabarkan secara detail, mulai dari pengertian, soal cerita, matriks, rumus dan contoh soalnya. Spltv Metode Gabungan Contoh Soal Dan Penyelesaiannya Catatan Matematika Com
Spltv Metode Gabungan Contoh Soal Dan Penyelesaiannya Catatan Matematika Com from 4.bp.blogspot.com
Soal dan pembahasan spldv soal cerita soal nomor 1 harga 5 pensil dan 2 buku rp26.000,00 sedangkan. 15 contoh soal cerita spldv spltv splk dan jawabannya. Contoh soal cerita dan pembahasan spltv metode eliminasi. Yunda mempunyai 4 buah semangka, 8 buah mangga dan 12 buah kelingking. Sistem persamaan linear tiga variabel spltv catarina dyah. 1332014 bagaimana kita bisa menjawab pertanyaan ini. Kumpulan soal cerita berbentuk spldv dan pembahasannya lengkap. Contoh soal spldv metode gabungan.

Pada dasarnya terdapat 4 langkah dalam menyelesaiakan permasalahan spldv dengan menggunakan metode grafik.

Contoh soal spldv matematika smp 1 idschool. Di mana kita akan menggabungkan metode eliminasi dan substitusi. Contoh soal cerita spldv metode campuran dan penyelesaiannya. Dalam hal tersebut disebabkan oleh x dan y yang secara berturut menyatakan banyaknya karcis i dan ii yang terjual yakni 125 lembar dan 375 lembar. (spldv), silahkan kalian pelajari beberapa contoh soal cerita dan pembahasannya berikut ini. Pada dasarnya terdapat 4 langkah dalam menyelesaiakan permasalahan spldv dengan menggunakan metode grafik. Sistem persamaan linier dua variabel (spldv) bisa sangat bermanfaat bagi kehidupan kita. Semangka = x , mangga = y dan kelingking = z, sehingga bentuk persamannya yaitu = 4x + 8y + 12z. Metode ini sangat cocok digunakan untuk mengerjakan soal tentang sistem persamaan linear dua variabel, karena lebih sederhana. Sistem persamaan linear tiga variabel (spltv) ialah merupakan suatu bentuk perluasan atas sistem persamaan linear dari dua variabel (spldv). Pertama, menggunakan metode eliminasi untuk mencari salah satu nilai variabelnya, setelah nilai variabel diperoleh, maka nilai variabel tersebut disubtitusikan ke dalam salah satu persamaan untuk mendapatkan. Metode gabungan untuk menyelesaikan spldv. Semoga ulasan diatas bisa sangata membantu dan tentunya bermanfaat untuk sahabatsemua.

Contoh Soal Cerita Spldv Metode Gabungan / Spldv New / Persamaan 1 = x + 3y = 15.. (spldv), silahkan kalian pelajari beberapa contoh soal cerita dan pembahasannya berikut ini. Metode gabungan adalah suatu metode yang digunakan untuk mencari himpunan penyelesaian spldv dengan cara menggabungkan dua metode sekaligus, yakni metode eliminasi dan metode subtitusi. Kumpulan soal cerita berbentuk spldv dan pembahasannya lengkap. Contoh soal spldv metode campuran. Materi contoh soal latihan soal 11.

Posting Komentar untuk "Contoh Soal Cerita Spldv Metode Gabungan / Spldv New / Persamaan 1 = x + 3y = 15."